Экология и благоустройство Подольска и окрестностей
Дорожное покрытие. Дворы и городские магистрали.
Segl
Можно поинтересоваться, а зачем Вы новую тему создали, когда уже есть топики и про благоустройство, и про парковки, и про добродел? Смысл плодить новые?
Можно поинтересоваться, а зачем Вы новую тему создали, когда уже есть топики и про благоустройство, и про парковки, и про добродел? Смысл плодить новые?
Жестокость — это черта характера добрых людей, она возникает, когда об твою доброту начинают вытирать ноги.
Дорожное покрытие. Дворы и городские магистрали.
Явно не для славы.Не видел просто. Повисит немного и удалю. Говорят толку все равно не будет.
Экология и благоустройство Подольска и окрестностей
Вот бы все улицы города были такими
:
живьём выглядит изумительно
"Лучше день потерять, потом за 5 минут долететь".
Я - за здоровую критику, но против критиканства.
Я - за здоровую критику, но против критиканства.
Экология и благоустройство Подольска и окрестностей
А на Профсоюзной и Подольской грязь вдоль бордюров так и не убрали. Просто забили и всё. Даже 2 просроченных обращения в добродел не помогают.
Последний раз редактировалось Yury 11 май 2016 15:02, всего редактировалось 1 раз.
Экология и благоустройство Подольска и окрестностей
В Большом Подольске реализуется программа по развитию дорожно-транспортного комплекса
По сообщению комитета по дорожному хозяйству и транспорту в Большом Подольске приступили к реализации программы «Развитие и функционирование дорожно-транспортного комплекса Подольска». Согласно данной программе в 2016 году на содержание и ремонт автомобильных дорог общего пользования местного значения, дворовых территорий многоквартирных домов и проездов к ним, внутриквартальных дорог планируется потратить почти 458 млн рублей из муниципального бюджета.
К частично текущему ремонту автомобильных дорог общего пользования в Городском округе Подольск приступили в начале апреля. Подрядными организациями ОАО «Подольское ДРСУ», ООО «Дорожные работы», ООО «Промстройматериалы», ООО «КОМТЕХ», ООО «Волгастрой» произведен ямочный ремонт дорог общей площадью 8 450 кв. м. Подрядной организацией ОАО «Подольское ДРСУ» отремонтированы участки автомобильных дорог общего пользования местного значения по улицам: Красной, Циолковского, Бородинской, Ленинградскому проезду общей площадью 2 500 кв.м.
В микрорайоне "Климовск" завершен ремонт дороги по адресу: проспект 50-летия Октября, дом 16б. Продолжается ремонт внутридворовых дорог у дома 15/1 по ул. Заводской и у домов 12, 14/7, 10/6 по ул. Дмитрия Холодова.
Пресс-служба администрации Городского округа Подольск
Экология и благоустройство Подольска и окрестностей
Акция «Лес Победы» пройдет 14 мая в Большом Подольске
14 мая в Подмосковье состоится акция «Лес Победы», посвященная 71-й годовщине Победы в Великой Отечественной войне и 75-й годовщине начала контрнаступления советских войск в битве под Москвой. В этот день на территории Большого Подольска будут высажены свыше 15 тысяч молодых саженцев деревьев на трех площадках.
Главная площадка - это бульвар 65-летия Победы в микрорайоне «Кузнечики», где планируется посадить 75 лип и около 3000 тысяч боярышников и кленов Гинелла на площади почти 0,5 гектара. Для участников акции будет организована культурная программа силами городских творческих коллективов, также будет развернута полевая кухня.
Два других места высадки молодого «Леса Победы» в Большом Подольске находятся на выделах Мещерского участкового лесничества Подольского филиала ГКУ МО «Мособллес». Первый - западнее деревни Матвеевское, на площади 3,1 гектара. Здесь будут высажены 11 тысяч саженцев сосны. Второй участок площадью 0,4 гектара находится вблизи СНТ «Радиоцентр № 6», здесь высадят 1500 молодых сосен.
Ожидается, что в Большом Подольске в акции «Лес Победы» примут участие свыше тысячи человек. Это представители молодежных движений, общественных организаций, сотрудники предприятий и учреждений, школьники, жители округа.
Сбор участников - в 10.00 часов в местах высадки саженцев. Для участников акции будет организован специальный транспорт к местам посадки деревьев. Подробная информация о времени и маршрутах представлена на сайте администрации Городского округа Подольск - http://www.admpodolsk.ru/index.php?cate ... leid=20460
Всего в 2016 году в память о погибших защитниках Москвы планируется высадить около миллиона новых деревьев по всей Московской области. К участию в этой крупномасштабной акции будет подготовлен 571 участок общей площадью около 300 гектаров.
Жестокость — это черта характера добрых людей, она возникает, когда об твою доброту начинают вытирать ноги.
Экология и благоустройство Подольска и окрестностей
Если в лесу запрещено жечь костры и мангалы с шашлыками, то как обстоят дела с поджогами мангалов во дворах жилых домов нашего города Подольск? Это прежде всего дым, который пагубно влияет на здоровье…кто этим занимается?
Улыбайтесь:
-это заставляет людей ломать голову над тем,что же у вас на уме
-это всех раздражает
-кто-то может влюбиться в твою улыбку
-это заставляет людей ломать голову над тем,что же у вас на уме
-это всех раздражает
-кто-то может влюбиться в твою улыбку
Экология и благоустройство Подольска и окрестностей
Веган?хлопушка писал(а):Если в лесу запрещено жечь костры и мангалы с шашлыками, то как обстоят дела с поджогами мангалов во дворах жилых домов нашего города Подольск? Это прежде всего дым, который пагубно влияет на здоровье…кто этим занимается?
- Андрей221
- Флудеролог со стажем
- Сообщения: 42900
- Зарегистрирован: 17 июн 2009 13:58
- Откуда: Подольск, Литейная
Экология и благоустройство Подольска и окрестностей
Самыч писал(а):Веган?хлопушка писал(а):Если в лесу запрещено жечь костры и мангалы с шашлыками, то как обстоят дела с поджогами мангалов во дворах жилых домов нашего города Подольск? Это прежде всего дым, который пагубно влияет на здоровье…кто этим занимается?
Может просто на диете, а запах так и манит!)))
Наблюдаю за всем......
Решаем проблемы. Стараемся везде не волноваться...
Решаем проблемы. Стараемся везде не волноваться...
Экология и благоустройство Подольска и окрестностей
А может по существу ответить??? Если в поле или на берегу хоть есть ветер, то в городе -дым кругом…
Я написала причину, дышать кострами в квартире, уж извольте…
А после себя потом оставляют горы жженого угля и прочей ерунды
Я написала причину, дышать кострами в квартире, уж извольте…
А после себя потом оставляют горы жженого угля и прочей ерунды
Улыбайтесь:
-это заставляет людей ломать голову над тем,что же у вас на уме
-это всех раздражает
-кто-то может влюбиться в твою улыбку
-это заставляет людей ломать голову над тем,что же у вас на уме
-это всех раздражает
-кто-то может влюбиться в твою улыбку
- Андрей221
- Флудеролог со стажем
- Сообщения: 42900
- Зарегистрирован: 17 июн 2009 13:58
- Откуда: Подольск, Литейная
Экология и благоустройство Подольска и окрестностей
хлопушка
Про дым от шашлыка это бред, а прочей ерундой занимаются специальные службы и волонтеры с энтузиастами
Про дым от шашлыка это бред, а прочей ерундой занимаются специальные службы и волонтеры с энтузиастами
Наблюдаю за всем......
Решаем проблемы. Стараемся везде не волноваться...
Решаем проблемы. Стараемся везде не волноваться...
Экология и благоустройство Подольска и окрестностей
Кстати вот только сегодня у Варламова про новостройку в Гётеборге http://varlamov.ru/1721624.htmlхлопушка писал(а):А может по существу ответить??? Если в поле или на берегу хоть есть ветер, то в городе -дым кругом…
Я написала причину, дышать кострами в квартире, уж извольте…
А после себя потом оставляют горы жженого угля и прочей ерунды
Во дворах общественные грили.
Экология и благоустройство Подольска и окрестностей
хлопушка
А запахи от шашлыков в летних кафе на вас как, влияют?
Теоретически нельзя разводить открытый огонь на территории жилых кварталов, вне отведенных мест, но практически никто не поедет штрафовать или прогонять.
А запахи от шашлыков в летних кафе на вас как, влияют?
Теоретически нельзя разводить открытый огонь на территории жилых кварталов, вне отведенных мест, но практически никто не поедет штрафовать или прогонять.
Экология и благоустройство Подольска и окрестностей
Года три назад у нас во дворе молодежь день рождения отмечала, на мангале шашлыки делали, сидели вполне тихо и спокойно, но кому то из жильцов дым от мангала не понравился, вызвал полицию, приехала, поговорили, ребята мангал свернули. Это было на Ул. Мраморная д. 12.летучка писал(а):хлопушка
А запахи от шашлыков в летних кафе на вас как, влияют?
Теоретически нельзя разводить открытый огонь на территории жилых кварталов, вне отведенных мест, но практически никто не поедет штрафовать или прогонять.
Экология и благоустройство Подольска и окрестностей
ali
Ну так они шашлыки на сухую ели, что ли?
Наверняка запивали не соком "Моя семья".
Ну так они шашлыки на сухую ели, что ли?
Наверняка запивали не соком "Моя семья".
Экология и благоустройство Подольска и окрестностей
Кругом чистота, красота и порядок.
Можно и за траву взяться
Можно и за траву взяться
Нет пошлых фраз — есть пошлые уши.
А с теми, кто не в теме нечего делить - наши тропы к разным полюсам..
А с теми, кто не в теме нечего делить - наши тропы к разным полюсам..
Экология и благоустройство Подольска и окрестностей
Линка
Ну почему, вон какие орлы лес в Кузнечиках еще сажали.
Ну почему, вон какие орлы лес в Кузнечиках еще сажали.
Экология и благоустройство Подольска и окрестностей
А где Макаров? Или он, до сих пор, в собственных судах занят?летучка писал(а):вон какие орлы лес в Кузнечиках еще сажали
Не без уважения, ваш Вольдемар Абрамович
Экология и благоустройство Подольска и окрестностей
Алле - ап!Aviator писал(а):А где Макаров?
Скрытый текст:
Скрытый текст:
Жестокость — это черта характера добрых людей, она возникает, когда об твою доброту начинают вытирать ноги.
Экология и благоустройство Подольска и окрестностей
У нас там дворик камерный столик лавочки, выпивают часто, сидя за столом, причем не молодежь, а люди далеко за 40, рядом в 20 м. детская площадка и никого никогда это не возмущало и полицию никто не вызывал, а вот молодежь мангал поставила тут же полиция. Не вижу разницы в поступках.летучка писал(а):ali
Ну так они шашлыки на сухую ели, что ли?
Наверняка запивали не соком "Моя семья".
- insolent_mouse
- Expert

- Сообщения: 1765
- Зарегистрирован: 13 янв 2014 21:08
Экология и благоустройство Подольска и окрестностей
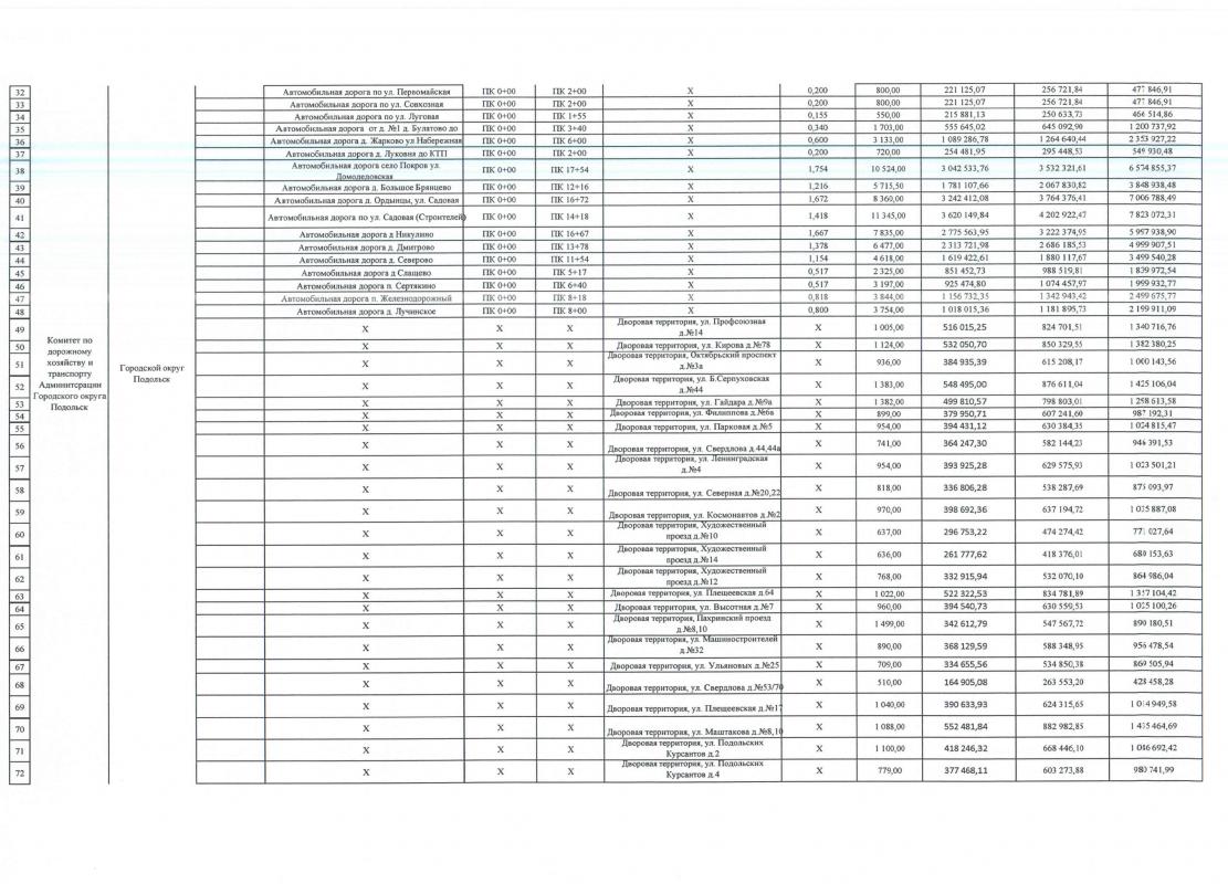
А про ремонт локальных дорог в 2016 уже было? А то недавно конкурс прошёл - http://zakupki.gov.ru/epz/order/notice/ ... 5416000238
За размер картинок ответственность несёт заказчик
За размер картинок ответственность несёт заказчик
- Acmeolog
- Super expert

- Сообщения: 8521
- Зарегистрирован: 27 май 2007 20:19
- Откуда: Мир
- Контактная информация:
Экология и благоустройство Подольска и окрестностей
http://prowaste.ru/news/2016/05/17/841
Первый набор общественных экологических инспекторов состоялся в Минэкологии Московской области.
Инициатива создания общественной экологической инспекции, которая помогала бы природоохранным структурам и своевременно сообщала бы об обнаруженных нарушениях экологического законодательства, была выдвинута главой Минприроды Сергеем Донским на прошлой неделе, соответствующий законопроект направлен на рассмотрение в Госдуму.
Всего желание работать в такой общественной структуре изъявили около 200 граждан Подмосковья. Первое тестирование кандидатов в экологическую инспекцию прошло еще в начале апреля. Все инспекторы получили особые удостоверения, торжественно врученные им в ходе выставки-форума «ЭКОТЕХ», а в пятницу, 13 мая, для прошедших отбор инспекторов было проведено первое обучение.
Начальник управления экологического надзора Минэкологии Подмосковья Лариса Косюк, проводившая встречу, объяснила будущим инспекторам их полномочия:
Контроль за соблюдением экологического законодательства (с позиции наблюдателя);
Обследование общественных мест на предмет нарушений;
Оказание бесплатной консультационной помощи гражданам по вопросам экологического законодательства;
Проведение общественных опросов;
Участие в экологических акциях.
Как хотите, чтобы с вами поступали люди, так и вы поступайте с ними
Экология и благоустройство Подольска и окрестностей
Acmeolog
Министерство экологии дважды демонстративно проигнорировало информацию о загрязнении водоема и водоохранной зоны. Лично у меня пропало всякое желание с ним сотрудничать.
Министерство экологии дважды демонстративно проигнорировало информацию о загрязнении водоема и водоохранной зоны. Лично у меня пропало всякое желание с ним сотрудничать.
Экология и благоустройство Подольска и окрестностей
Зловонный водоем из черной жижи уже несколько дней беспокоит местных жителей. Весь пруд покрыт мертвой рыбой, стоит ужасный запах. Из канализационного колодца вырвались наружу потоки нечистот, на место бедствия выехали специалисты природоохранных служб.
http://podolskriamo.ru/article/6442/sto ... ikatnoj.xl
http://podolskriamo.ru/article/6442/sto ... ikatnoj.xl
- insolent_mouse
- Expert

- Сообщения: 1765
- Зарегистрирован: 13 янв 2014 21:08
Экология и благоустройство Подольска и окрестностей
Ого, там даже рыба водилась...
Там небольшой каскад прудов и некое подобие речушки (можно вброд перейти и русло заросшее - вода там скорее стоячая), впадающей в Пахру у небольших прудов в Плещеево.
Там небольшой каскад прудов и некое подобие речушки (можно вброд перейти и русло заросшее - вода там скорее стоячая), впадающей в Пахру у небольших прудов в Плещеево.
Экология и благоустройство Подольска и окрестностей
А у нас клумбу под окном на работе делают ...
- Dr.Schultz
- Повелитель вселенной

- Сообщения: 46730
- Зарегистрирован: 21 дек 2005 14:50
- Откуда: Нью-Москоу
Экология и благоустройство Подольска и окрестностей
Самыч
решили с соседями за благоустройство посостязаться?
Сафонова вряд ли догоните уже
решили с соседями за благоустройство посостязаться?
Сафонова вряд ли догоните уже
Последний раз редактировалось Dr.Schultz 23 май 2016 13:44, всего редактировалось 1 раз.
Экология и благоустройство Подольска и окрестностей
Нам их не переплюнутьDr.Schultz писал(а):Самыч
решили с соседями за благоустройство посостязаться?
Экология и благоустройство Подольска и окрестностей
жаль мимо нас "проехали" или не доехали
Штрафов почти на 11 млн руб. выписал подмосковный Госадмтехнадзор за неделю
Красногорск. 20 мая. ИНТЕРФАКС - Более 1320 правонарушений выявили сотрудники Госадмтехнадзора Московской области за неделю, сообщает пресс-служба надзорного ведомства со ссылкой на руководителя Татьяну Витушеву.
"Выявлено 1323 правонарушения, из них 1195 в настоящее время устранены. Общая сумма штрафов составила 10 626 700 рублей", - говорится в сообщении.
В нем отмечается, что самое большое количество правонарушений зафиксировано по итогам операций "Размещение транспортных средств на детских площадках, газонах, вне отведенных для этих целей местах" (выявлено 498 нарушений с общей суммой штрафов 905 тысяч рублей) и "Дорога" (выявлено 252 правонарушения, общая сумма штрафов 2 миллиона рублей).
Кроме того, в течение недели инспекторы обнаружили 20 очаговых навала мусора общим объемом 108 кубометров в Солнечногорском, Клинском, Пушкинском, Воскресенском, Коломенском районах, городских округах Коломна, Балашиха и две несанкционированные свалки мусора общим объемом 2 050 кубометров в Ленинском и Истринском районах. По данным нарушениям выписано восемь административных штрафов на сумму 397 000 рублей, а также вынесено 14 предупреждений. Ликвидировано 15 очаговых навалов мусора общим объемом свыше 100 кубометров.
За ненадлежащее исполнение обязанностей по поддержанию чистоты и порядка к административной ответственности были привлечены администрации семи муниципальных районов, 11 городских округов, 10 городских и 10 сельских поселений.
Штрафов почти на 11 млн руб. выписал подмосковный Госадмтехнадзор за неделю
Красногорск. 20 мая. ИНТЕРФАКС - Более 1320 правонарушений выявили сотрудники Госадмтехнадзора Московской области за неделю, сообщает пресс-служба надзорного ведомства со ссылкой на руководителя Татьяну Витушеву.
"Выявлено 1323 правонарушения, из них 1195 в настоящее время устранены. Общая сумма штрафов составила 10 626 700 рублей", - говорится в сообщении.
В нем отмечается, что самое большое количество правонарушений зафиксировано по итогам операций "Размещение транспортных средств на детских площадках, газонах, вне отведенных для этих целей местах" (выявлено 498 нарушений с общей суммой штрафов 905 тысяч рублей) и "Дорога" (выявлено 252 правонарушения, общая сумма штрафов 2 миллиона рублей).
Кроме того, в течение недели инспекторы обнаружили 20 очаговых навала мусора общим объемом 108 кубометров в Солнечногорском, Клинском, Пушкинском, Воскресенском, Коломенском районах, городских округах Коломна, Балашиха и две несанкционированные свалки мусора общим объемом 2 050 кубометров в Ленинском и Истринском районах. По данным нарушениям выписано восемь административных штрафов на сумму 397 000 рублей, а также вынесено 14 предупреждений. Ликвидировано 15 очаговых навалов мусора общим объемом свыше 100 кубометров.
За ненадлежащее исполнение обязанностей по поддержанию чистоты и порядка к административной ответственности были привлечены администрации семи муниципальных районов, 11 городских округов, 10 городских и 10 сельских поселений.
Господи ! Помоги мне видеть хорошее там, где его не ждут, находить в людях достоинства, которые за ними не признают, и даруй великую милость - научи меня говорить им об этом. Аминь!
Экология и благоустройство Подольска и окрестностей
http://www.mskagency.ru/materials/2554633Власти Московской области будут следить за ремонтом ям на дорогах с помощью специального мобильного приложения, сообщил начальник Главного управления дорожного хозяйства региона Игорь Тресков на заседании областного правительства.
«Мингосуправления разработало специальную программу под названием «Дороги Подмосковья». Суть этой программы: на каждый телефон заказчика и подрядчика закачивается специальное приложение. Подрядчики при устранении ям будут делать фото «до» и «после». Фотография будет иметь привязку по координатам и времени, это не позволит обманывать в ходе ремонта», - сказал И.Тресков.
По его словам, оплата подрядчику станет производиться только после публикации фото в данной программе. «Срок внедрения программы - через две недели», - добавил И.Тресков.
Кроме того, программа будет использоваться при инспектировании дорог региона, что позволит оперативно фиксировать выявленные недостатки, а все сведения будут направляться исполнителям работ.
Также, по словам И.Тресков, муниципалитеты будут высылать ему на личную почту еженедельные отчеты о проделанном ремонте ям.
Ранее глава управления сообщил, что теперь власти каждого городского округа и муниципального района будут должны устранять минимум по 50 ям на муниципальных дорогах и во дворах еженедельно, а Мосавтодор - минимум 5 тыс. ям на региональных дорогах еженедельно.
Экология и благоустройство Подольска и окрестностей
Новостройка на Ватутина 36.
Давно я не видел такую шикарную детскую площадку, во дворе дома...
Давно я не видел такую шикарную детскую площадку, во дворе дома...
Скрытый текст:
Не без уважения, ваш Вольдемар Абрамович
Экология и благоустройство Подольска и окрестностей
это можно в идиотеку оправлятьAviator писал(а):Новостройка на Ватутина 36.
Давно я не видел такую шикарную детскую площадку, во дворе дома...
Экология и благоустройство Подольска и окрестностей
Подольск всё креативней и креативней своим дебилизмом. 
А ведь эту площадку кто то принимал.
А ведь эту площадку кто то принимал.
Наши враги тупые. Они думают, что это мы враги, хотя, на самом деле, враги - они.








